The wind simulation does not result in totally stable results as it is a dynamic process changing over time.
In order to address this problem, the program measures the resulting total forces convergence from one iteration to the next over a specific time period.
The deviation factor is used to identify when the solution has converged. As soon as the percentage of difference between two iterations falls below the deviation factor, the solution has converged.
.
.
.
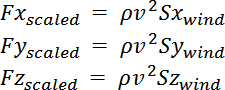
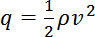
The resultant forces depend on the model size. To properly scale the resultant forces, the program uses the dynamic pressure
and the surface values
,
, and
.
The surface values are used to scale the corresponding forces.
This approach allows for the neutralization of disproportions of the model in the wind directions x, y and z.
represents the dynamic pressure in pascals.
represents the fluid density in kg/m3 .
represents the fluid velocity in m/s.
corresponds to the area covered by the projection of all the triangles of the model on the plane perpendicular to the X wind direction.
corresponds to the area covered by the projection of all the triangles of the model on the plane perpendicular to the Y wind direction.
corresponds to the area covered by the projection of all the triangles of the model on the plane perpendicular to the Z wind direction.
The scaling forces are calculated as follows:

To measure the total forces convergence over a specific time period, the resultant forces
,
, and
are calculated and stored for a number of steps
n, and then the maximum change for a given moment is calculated as follows:

Where
,
, and
represent the stored values of
,
, and
for a given step, and for i=1 to
n.
These maximum force changes are then scaled by
,
, and
respectively and displayed as a percentage.
The final metric is the maximum of these three scaled values:

Where
= 0,5%, i.e. the default load deviation factor.
n is the number of simulation steps for which
,
, and
are stored for comparison with the current step. The default value for
n is 10.