ExposureContrast
The ExposureContrast element simulates adjusting the exposure of an image, and also modifies the contrast between light and dark colors.
It is an Autodesk extension to the Academy/ASC XML color transform format.
If a color transform is used for display, then depending on the application users can still adjust the exposure and contrast interactively as long as the CTF file contains at least one ExposureContrast element with DynamicParameter sub-elements. In this case, the corresponding parameter values defined in the ECParams sub-element are ignored for display only, and instead the values set in the application are applied at each point in the transform chain that an ExposureContrast element with DynamicParameter sub-elements occurs.
Introduced
Version 1.2.
Contains
- Description. Optional, any number.
- ECParams. Required, one only.
- DynamicParameter. Optional, up to 3. Each param attribute must be set to a different value.
Contained By
Attributes
id, name, bypass, inBitDepth, outBitDepth
See Common Operator Attributes.
style
Declares the input data type. Required.
| Value | Meaning |
|---|---|
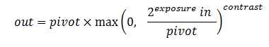
| "linear" | ![]() |
| "video" | ![]() |
| "log" | ![]() |



