0
No rule. Used when a rule in the formula of a combination for a given load type is not defined.
The rule does not take subnatures into account.
Note: The formula allows one factor ψ 0,1
and one factor ψ K
for all subnatures.

Note: The formula allows one factor ψ 0,1
and one factor ψ K for all subnatures.

Note: The formula allows one factor ψ 0,3 for all subnatures.

Note: The formula allows one factor ψ 0,3
and one factor ψ K
for all subnatures.

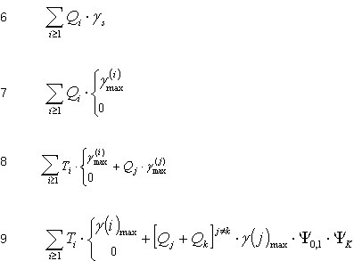
Note: The formula allows one factor ψ 0,1
and one factor ψ K
for all subnatures.

Note: The formula allows one factor ψ0,2
and one factor ψ 2,n
for all subnatures.


Note: The formula allows one factor y 0,3
and one factor ψ 0,2
for all subnatures.

Note: The formula allows one factor ψ 0,3
and one factor ψ 0,2 for all subnatures.

Note: The formula allows one factor ψ 0,3
and one factor ψ0,2
for all subnatures.

Note: The formula allows one factor ψ K
for all subnatures.

Note: The formula allows one factor ψ K
for all subnatures.

Note: The formula allows one factor ψ K
for all subnatures.

Note: The formula allows one factor ψ K for all subnatures.

Note: The formula allows one factor ψ for all subnatures.

Note: The formula allows one factor ψ for all subnatures.

Note: The formula allows one factor ψK for all subnatures.

Note: The formula allows one factor ψ K
for all subnatures.

Note: The formula allows one factor ψK
for all subnatures.







Note: The formula allows one factor ψK
for all subnatures.
