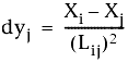
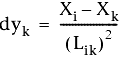
각 관찰에 대한 좌표의 변경은 각도 관찰 계산식의 다음 Taylor 시리즈 근사값으로 표시됩니다.
여기서 각 항목은 다음과 같습니다.
다음 그림은 각도 관찰 계산식의 지오메트리를 보여 줍니다.