Landnutzungen und Bodentypen werden verwendet, um gewichtete Durchschnittswerte für Einzugsgebiete zu berechnen.
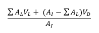
Ein gewichteter Durchschnitt aus Landnutzungen wird berechnet, indem das Produkt von jeder Landnutzungsfläche und jedem Wert addiert und diese Summe durch die Fläche des Einzugsgebiets geteilt wird. Die Fläche jeder berücksichtigten Landnutzung ist nur die Fläche, in der sie sich mit dem Einzugsgebiet überschneidet. Wenn sich eine Fläche des Einzugsgebiets nicht mit einer Landnutzung überschneidet, wird sie so behandelt, als hätte sie die Werte, die vom Vorgabeeintrag für die Landnutzung bereitgestellt wurden. Für diese Berechnung wird die folgende Gleichung verwendet:
Dabei gilt:
AL = Fläche, in der sich eine Landnutzung mit dem Einzugsgebiet überschneidet
VL = Wert der Eigenschaft für diese Landnutzung
AI = Fläche des Einzugsgebiets
VD = Wert der Eigenschaft, die vom Vorgabeeintrag für die Landnutzung bereitgestellt wurde
Dies wird zur Berechnung von Folgendem verwendet: gewichteter Durchschnitt für die vorläufigen Eigenschaften Prozentsatz undurchlässig und Volumetrischer Abflusskoeffizient, dynamische Eigenschaft Prozentsatz undurchlässig der Abflussmethoden Konzentrationszeit, SCS, Santa Barbara Urban Hydrograph (SBUH), Zeitbereichsdiagramm und SWMM sowie dynamischer volumetrischer Abflusskoeffizient (Sommer und Winter, falls saisonale volumetrische Abflusskoeffizienten eingesetzt werden) der Abflussmethoden Konzentrationszeit, Zeitbereichsdiagramm, Gründach und Modifiziert rational (statisch). Alle Eigenschaften, die automatisch aus diesen Eigenschaften berechnet werden, werden der Reihe nach aktualisiert.
Werden auch Bodentypen berücksichtigt, wird dieselbe Berechnung verwendet, wobei jede berücksichtigte Fläche die Überschneidungsfläche des Einzugsgebiets mit Landnutzung und Bodentyp darstellt.
Dies wird zur Berechnung der Eigenschaft Beiwert der durchlässigen Fläche für die Abflussmethoden SCS, Santa Barbara Urban Hydrograph (SBUH) und SWMM verwendet.

Berechnung nach gewichtetem Durchschnitt