Les options Utilisation des sols et Types de sol permettent de calculer les moyennes pondérées des bassins versants.
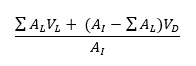
Une moyenne pondérée à partir des utilisations des sols est calculée en additionnant le produit de chaque zone et valeur d’utilisation des sols et en divisant cette somme par l’aire du bassin versant. La zone de chaque utilisation des sols utilisée est uniquement la zone partagée avec le bassin versant. Si une zone du bassin versant n’est pas recouverte par une utilisation des sols, elle est considérée comme ayant les valeurs d’utilisation des sols par défaut. L’équation suivante est utilisée pour ce calcul :
où :
AL = Zone dans laquelle une utilisation des sols recouvre le bassin versant
VL = Valeur de la propriété pour cette utilisation des sols
AI = Aire du bassin versant
VD = Valeur de la propriété fournie par la valeur d’utilisation des sols par défaut
Cette option permet de calculer la moyenne pondérée des propriétés préliminaires des pourcentages de surface imperméabilisée et des coefficients de ruissellement volumétrique, ainsi que la propriété dynamique des pourcentages de surface imperméabilisée pour les méthodes de ruissellement Temps de concentration, SCS, Santa Barbara Urban Hydrograph, Courbe isochrone et SWMM, et le coefficient de ruissellement volumétrique dynamique (été et hiver si des coefficients de ruissellement volumétrique saisonniers sont utilisés) pour les méthodes de ruissellement Temps de concentration, Courbe isochrone, Toiture végétale et Rationnelle modifiée (statique). Toutes les propriétés calculées automatiquement à partir de ces propriétés seront mises à jour à tour de rôle.
Lorsque les types de sols sont également pris en compte, le même calcul est utilisé, où chaque zone considérée est la zone du bassin versant recouverte par une utilisation des sols et un type de sol.
Cette option est utilisée pour calculer la propriété Numéro de courbe de la surface perméable pour les méthodes de ruissellement SCS, Santa Barbara Urban Hydrograph et SWMM.

Calcul par moyenne pondérée