Share
 
 

Parallel Second Order 2RA model for Chlorine and Trihalomethane Predictions

This paper was written in partnership with Western Sydney University Water Group, led by Dr. Arumugam Sathasivan, Professor of Water and Environmental Engineering, within the School of Engineering, Design, and the Built Environment. Drs. Ian Fisher and George Kastl were the main contributors.

For more information on the Group's experience and services, visit their website.

Abstract

Identifying cost-effective chlorine dosing strategies is a major issue for planners and managers of water distribution systems, in their mission to provide healthy water to consumers. An effective strategy maintains more than a specified minimum chlorine concentration to system extremities, while keeping by-products like trihalomethanes (THMs) below regulated maximum levels. Ensuring effectiveness can be greatly assisted by modelling chlorine and THM concentrations in a system. However, simultaneous prediction of changes in these concentrations is required over time in a way that is accurate and efficient. Such predictions are possible with multi-solute modelling software such as the Multi-Solutes Water Quality (MSQ) module of Autodesk's InfoWorks WS Pro.

In particular, the MSQ module provides users with the Parallel Second-Order (PSO) model of chlorine reactions and THM formation in bulk water. This is also called the parallel Two-Reactant (2R) model, or the 2RA model when augmented to include the effect of temperature on reaction rates. As well as being accurate, it is also most efficient in using only a single set of constant coefficients to quantify the reactions over the full range of operating conditions.

After briefly outlining the general need for such water quality modelling, the benefits of using the PSO/2RA model within the MSQ module of InfoWorks WS Pro are presented. We then describe how to derive these coefficients from laboratory decay-test data for both the chlorine-reaction and THM-formation components.

Why model chlorine and trihalomethane (THM) concentrations in distribution systems?

Chlorine is dosed into distribution systems to sustain microbial water quality; initially, after filtration, to inactivate pathogens before reaching consumers and, subsequently, to maintain more than a specified minimum concentration to the system extremities. Free chlorine also reacts strongly with other substances ("reactants") that remain in water even after treatment. Consequently, its concentration decreases as water travels through the system, at a rate depending on demand/flow, temperature, and type and concentration of reactants.

Identifying the dose(s) that will ensure an adequate concentration is maintained is a complex problem. An "effective dosing strategy" is firstly the combination of initial and booster doses (i.e. their locations and post-dose concentrations) that maintains an adequate concentration at system extremities for a particular demand/flow/temperature scenario.

This definition needs to be extended to include more recent requirements to limit disinfection by-product (DBP) concentrations that are harmful to consumers' health. In particular, the formation of trihalomethanes (THMs) is regulated to varying degrees worldwide. Effective dosing strategies then become only those that keep THM concentrations below regulated limits, while maintaining an adequate chlorine concentration to system extremities.

System models routinely set up in software such as EPANET and InfoWorks WS Pro compute the progression of water "parcels" through pipe networks over time. These system models can simultaneously compute chlorine concentration in each parcel from the processes that decrease it, as the parcels travel through the system. Similarly, THM concentrations can be computed from a THM formation process model. Figure 1 shows a seven-day simulation of chlorine and THM concentrations within a water distribution network in InfoWorks WS Pro.

Figure 1 - Example projection of chlorine decay and THM concentrations over a 7-day period

Embedding such process models in system models (in software such as Autodesk's InfoWorks WS Pro) provides the simulation tools needed to determine which alternative dosing strategies are effective, firstly for a "worst case" demand/flow/temperature scenario. However, to be credible and usable, the process models must be both accurate and computationally efficient.

A cost-effective strategy can then be identified by further analysis as that which minimises the associated capital and operating costs, suitably amortized. Similar strategies for less critical scenarios can then be found by using the same system simulation tools and cost analysis. Further details of this procedure were provided by Fisher et al. (2019).

Why model chlorine and THMs using the MSQ module in InfoWorks WS Pro?

Traditional process models of chlorine "decay", such as the exponential or first-order decay model, are generally inaccurate because they account only for the decreasing concentration of chlorine, but not that of the chlorine-consuming reactants. They are also inefficient, in that the decay rate coefficient must be re-estimated for changes in initial dose and at arbitrary times after that (and again after any booster dosing) to approximate measured rates within the system. The bulk decay coefficient can also differ in different parts of the system due to water experiencing different amounts of wall decay since initial dosing. These arbitrary variations in decay rate coefficients also result in inconsistent estimates of coefficients defining their relationship with temperature.

The inaccuracy and inefficiency of the traditional process models of chlorine decay in bulk water are overcome by regarding it instead as one or more reactions of chlorine with the many reactants available. However, this requires simultaneous representation of concentrations of multiple "species" (chlorine and reactants) within system modelling software, which was first made generally available in EPANET's Multi-Species eXtension (MSX) by Shang et al. (2008). The Multi-Solute Water Quality (MSQ) module now provides this capability within InfoWorks WS Pro.

Jadas-Hècart et al. (1992) and Clark (1998) made a major advance in accuracy of predicting chlorine concentration by representing chlorine decrease as a single chemical reaction, with rate proportional to the product of the concentrations of chlorine and its reactants; i.e. a second-order (SO) model. However, both Jadas-Hècart et al. and Bocelli et al. (2003) found this model still could not accurately represent the measured faster initial rate of decrease than that predicted with a constant decay coefficient, for periods of up to 8 hours.

It was only by assuming two parallel reactions involving "fast" and "slow" reactants [thus creating the Parallel Second-Order (PSO) model] that chlorine decrease in a real water was accurately described over the whole reaction time with constant coefficients (Kastl et al. 1999). This latter capability is crucial to model/computational efficiency of extended-period simulation within system modelling software like InfoWorks WS Pro.

The PSO model's excellent accuracy and minimum data requirements across a wide range of waters have been established for response to variation of initial dose (Fisher et al. 2011), temperature (Fisher et al. 2012), and multiple booster doses (Fisher et al. 2017a). Fisher et al (2015) established its accurate representation of bulk-reaction in blends of waters in any proportion and Liu et al. (2014) extended the model to accurately account for large variations in pH at high temperatures.

The PSO model is now included as a built-in default model within the MSQ module of InfoWorks WS Pro. It specifies reaction rate equations for chlorine and its two reactants (i.e., three solutes). Total THMs is included as a fourth solute with formation rate dependent on the chlorine consumed. Figure 2 below shows these four solutes defined within a sample MSQ model in InfoWorks WS Pro (some columns are hidden to fit within the image).

Figure 2: MSQ Solutes tab defining the four solutes considered within the water quality model

If there is a single water source, only one set of five constant coefficients applies, from primary dose to system extremities – two initial reactant concentrations (F0 and S0), two reaction rate coefficients at 20°C (KF20 and KS20), and one coefficient (EOR) to define the strength of the effect of temperature on rate coefficients around the reference temperature of 20°C. The first two coefficients must be set as fixed concentrations at the source. The last three of these coefficients are defined in the first three lines of Table 1. These five coefficients must be estimated from suitably designed laboratory decay-tests because their values are so different in different waters. The coefficients used in this paper were derived from decay tests on water from Greenvale, Australia, as described in the next section. Both the decay-test data and the predictions obtained from the PSO model using these coefficients are shown in Figure 6.

THM formation has traditionally been modelled within InfoWorks using the same first-order equation as that for chlorine decay but having a positive value for the formation rate coefficient. However, these simulations had to be performed independently of the chlorine simulations and no procedure was available to determine the formation rate coefficient.

In reality, the strong linear dependency of THM formation on chlorine consumed (in reactions) has long been recognized (Clark 1998). THM concentrations are therefore most efficiently computed simultaneously with chlorine concentrations. One additional constant coefficient is required – the yield (KTHM in Table 1), expressed as mg-THM per mg-chlorine consumed (reacted) during their formation.

The effect of temperature has also been added. Any (constant) simulation temperature (TC) can be specified in Table 1. The user calculates TCOEFF from the function of TC and EOR given in the Description column of Table 1 and then calculates the values of KF and KS that apply at temperature TC. (note the TCOEF value means KF and KS at 26.5C are 2.177 times those obtained from the decay tests for reference temperature 20C – see next section for derivation of all parameters). The latter two constants are then used by InfoWorks WS Pro during the simulation run, as specified in Figure 3.

A separate solute data set must be created for each simulation temperature that will be used since that affects the KF and KS that are used in the simulation as illustrated in Table 1. It is therefore recommended to include the simulation temperature used in the name of any 2RA MSQ solute data object as illustrated at the top of Figure 2.

Table 1: Water Quality Constants and their derivation

WQ Constant ID

WQ Constant Description

WQ Constant value
KF20 Fast rate coefficient at 20°C [L/mg/h] 0.164
KS20 Slow rate coefficient at 20°C [L/mg/h] 0.00496
EOR (Activation energy E)/(gas const. R) [K] 10500
TC Simulation temperature [°C] 26.5
TCOEF TCOEF= exp[ EOR*(TC-20)/(20+273)/(TC+273)] 2.177
KF Fast rate coefficient at TC [L/mg/h] {=KF20*TCOEF} 0.357
KS Slow rate coefficient at TC [L/mg/h] {=KS20*TCOEF} 0.0108
KTHM THM yield [mg-THM/mg-Cl reacted] (default) 0.043

The five model coefficient values for the 2RA model are specific to a particular source water and must be determined from laboratory decay tests on that water. The first three (KF20, KS20 and EOR) are set in the first three lines above. The remaining two coefficients (initial concentrations of fast and slow reactants, F0 and S0) must be set as fixed concentrations at the source. The final three (KF, KS, and KTHM) are input in the MSQ Constant table shown in Figure 3.

The additional coefficient (KTHM) is required for the simulation of THM concentrations, which must also be derived from laboratory analysis of samples taken in conjunction with the 2RA decay-tests, as it is also specific to a given water. The value used here is the average from Satahsivan et al. (2020).

Figure 3 MSQ Constant tab showing the values applied to the model from Table 1

Figure 4 – MSQ Variables tab showing the equations for rate of change terms

Figure 5 – MSQ Reservoir and Pipe Equations (both tabs use the same equations)

Derivation of the constant coefficients in the PSO/2RA chlorine-reaction model

As there is a wide range of types and concentrations of chlorine-reactable substances even in treated waters, the coefficient values that characterise a particular water can only be derived from decay tests. These tests should be conducted on a water sample taken after the filters, but upstream of the primary chlorine-dosing point, to ensure maximum comparability between the initial reactant concentration in decay tests and in post-filter water at the treatment plant.

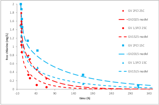
To derive robust estimates of the coefficient values for one water, decay tests must be conducted for combinations of a minimum of two different initial chlorine concentrations (ICCs) and two different temperatures; i.e., at least four decay tests. The tests should run over a period of greatest in-system water age, and temperature should be controlled within 1°C. The test conditions should be chosen to encompass the operating range of ICCs and temperatures in the system of interest. Figure 6 below shows an illustration of measured data for the four recommended test cases.

Figure 6 – Chlorine decay in Greenvale water: markers - measured chlorine values; curves –values simulated by two-reactant model with temperature-dependent decay coefficient (model fitted to data from Fisher et al. 2012).

If booster dosing is used in the system, then a duplicate of the high-dose, high-temperature decay test should be followed by a booster dose and subsequent measurement of chlorine decrease. As well as providing a validation, it also ensures that the overall chlorine reacted in the tests exceeds that in the system.

The coefficient values can then be determined from the decay-tests by using parameter-optimisation software such as Solver in Microsoft Excel. Such software systematically searches for the coefficient values which minimise the sum of squared differences between each data point in a decay test and the corresponding chlorine concentration predicted from the chlorine-reaction model. Figure 7 shows a sample screenshot in Excel of the Solver tool being used to minimize the calculated RMSE between model and measured data by varying KF20, KS20, the initial concentrations of the fast and slow reactants in the source water, and the EOR value.

Figure 7 - Screenshot of Excel Solver to minimize calculated error between model and measured data by varying KF20, KS20, F_O, S_O, and EOR

The model predictions are most efficiently generated by using the approximate analytical solution for the PSO developed by Kopaei and Sathasivan (2011). Alternatively, a numerical integration solution for the PSO can be set up within Excel, but including booster doses is difficult in either of these methods. We have generally used AQUASIM (Reichert 1994) for this reason and because it was specifically designed for convenient simulation of chemical reactions and parameter optimisation in batch samples and flow systems.

If more than one water source supplies the distribution system to be modelled, then a similar set of decay tests is needed for each source and a separate set of model coefficients derived for each. Similarly, a PSO model for each source must then be set up in MSQ.

Once derived from lab tests using Solver or AQUASIM to fit the data, the initial concentrations (F0 and S0) can be applied to each water source in the InfoWorks WS Pro model directly at fixed head nodes and/or transfer nodes. Figure 8 shows a sample setup at a fixed head source from the treatment plant where fixed concentrations are applied for free chlorine, THM, and the fast and slow reactants.

Figure 8 – Concentrations of Chlorine, THM, and reactants applied as fixed values at fixed head node

Derivation of the THM yield for use with the PSO/2RA model

Across a wide range of US and Australian waters with quality in the operating range of pH (7-8.2) and Br concentration (<200 μg/L), the THM yield [mg-THM/mg-chlorine consumed] was recently found to be fairly similar (Sathasivan et al. 2020). The average yield and standard deviation were respectively 0.043 and 0.008 mg-THM/mg-Cl. For an initial prediction of THM concentrations within a system, this average yield could be used in the MSQ module without the need for any sampling or chemical analysis for THMs. This default value has been used in the MSQ Constants tab (Table 1).

To develop a more accurate yield for an individual source, total THM [TTHM] concentration can be measured in a (quenched) sample, which is withdrawn from water undergoing a chlorine decay test. The corresponding chlorine concentration [Cl] is also measured immediately before quenching. If this is done at times 1 and 2, then

Yield = [TTHM2-TTHM1]/[Cl1-Cl2]

Samples should be quenched with sodium thiosulphate at the time of sampling to rapidly reduce chlorine to zero and so prevent any further THM formation before analysis. This procedure should be repeated to obtain at least three points to confirm linearity on a plot of TTHM vs. Cl consumed. One of these points should be derived for the greatest amount of chlorine consumption – at the end of the rechlorination decay-test. If booster chlorination occurs between times 1 and 2, then the net increase in chlorine due to each boost must be added to the denominator of the yield equation to calculate the total chlorine consumed in that time period.

The slope of a linear regression on these points gives the best estimate of the yield to use in MSQ. The intercept (on the TTHM axis) should be almost zero if the long-term proportionality between TTHMs and Cl consumed built into the TTHM model is valid. A substantial positive intercept (as shown for a real water in Figure 9) indicates that some treatment process has generated TTHMs before the filters (e.g., pre-chlorination) and the initial TTHM concentration must be set accordingly in the InfoWorks model at the fixed head source. A substantial negative intercept indicates that "non-productive" reactions occur soon after initial dosing, which can be represented with a simple modification of the fast reaction in the PSO model (Sathasivan et al. 2020).

Figure 9 - Total THM (TTHM) formation resulting from corresponding chlorine demand in Hervey Bay filtered water. Note the regression does not pass through the origin because pre-chlorination at the WTP resulted in 90 ug/L TTHMs before decay tests were conducted. Data from Fisher et al. (2021).

Representation of Wall-Reactions with the EXPBIO model

After the PSO model coefficients have been derived from decay-test data and are inserted into the MSQ module, the chlorine and TTHM concentrations obtained from an extended-period simulation in InfoWorks WS Pro are those that would result from chlorine reactions within the bulk water. In addition, chlorine concentrations in real systems are affected by its reaction with pipe walls and their adhesions (corrosion/biofilms).

To account for these wall-reactions, EPANET and its commercial derivatives such as InfoWorks provide two different models – zero-order (ZO) and first-order (FO). The associated wall-reaction rate (WRR) coefficients are derived by finding their value that minimizes the sum of squared differences between chlorine concentrations measured in-system and those predicted by the chosen bulk-decay or reaction model at corresponding locations. Often this procedure requires arbitrary assignment of different WRR coefficient values between consecutive measurement locations to obtain reasonable correspondence of overall model predictions with in-system measurements.

Fisher et al. (2017b) developed a "quantification method" for WRR in a series of pipes carrying unidirectional flows, firstly to identify whether WRR in each pipe can be distinguished from the error resulting from chlorine measurements at consecutive locations. At the upstream end of the system, WRR could not be quantified, i.e., it was effectively zero. Then, as distance downstream increased, WRR became quantifiable, and its value increased as chlorine concentration decreased. This directly contradicts both the ZO and FO models available in EPANET. Only when chlorine concentration decreased to very low levels did mass-transfer to the wall become limiting.

Fisher et al. (2017b) then derived a new wall-reaction model (EXPBIO), which results in the same general relationship between their quantified WRR data and longitudinal chlorine concentrations. The EXPBIO equations and parameters can potentially be input into MSQ for parallel simulation within the model so that it can represent the downstream increase in activity of biofilm attached to the wall. The EXPBIO model has been successfully tested using a MATLAB/EPANET representation of a Portuguese distribution system (Monteiro et al. 2020). More recently, it has been incorporated into MSQ and successfully reproduced the Mirrabooka pipeline results obtained using AQUASIM by Fisher et al. (2017b). Anyone interested in testing this new wall-reaction model should contact the WSU Water Group.

Further advice

Further advice on deriving the constant coefficients for the PSO model from decay tests can be obtained from Western Sydney University Water Group. (contact addresses: Ian Fisher ianfishau@gmail.com, George Kastl G.Kastl@westernsydney.edu.au, Sathaa Sathasivan S.Sathasivan@westernsydney.edu.au ). Visit their website to learn more about WSU Water Group's experience and services: https://www.westernsydney.edu.au/schools/soedbe/research/geotechnical,_water_and_environmental_engineering_research

References

Boccelli, D., Tryby, M., Uber., Summers, S., 2003. A reactive solutes model for chlorine decay and THM formation under rechlorination conditions. Water Research 37(11), 2654-2666.

Clark, R., 1998. Chlorine demand and TTHM formation kinetics: a second order model. Journal of Environmental Engineering, ASCE, 124(1), 16.

Fisher, I. H., Kastl, G., & Sathasivan, A. (2011). Evaluation of suitable chlorine bulk-decay models for water distribution systems. Water Research 45(16), 4896-4908.

Fisher, I. H., Kastl, G, & Sathasivan, A. (2012). A suitable model of combined effects of temperature and initial condition on chlorine bulk decay in water distribution systems. Water Research, 46(10), 3293-3303.

Fisher, I. H., Kastl, G., Sathasivan, A., Cook, D., & Seneverathne, L. (2015). A general model of chlorine decay in blends of surface waters, desalinated water and groundwaters ASCE Journal of Environmental Engineering 141(12), 5pp. DOI: 10.1061/(ASCE)EE.1943-7870.0000980.

Fisher, I. H., Kastl, G., & Sathasivan, A. (2017a). A comprehensive bulk chlorine decay model for simulating residuals in distribution systems. Urban Water Journal, DOI: 10.1080/1573062X.2016.1148180.

Fisher, I. H., Kastl, G., & Sathasivan, A. (2017b). New model of chlorine-wall reaction for simulating chlorine concentration in water distribution systems. Water Research 125, 427-437.

Fisher, I. H., Kastl, G., & Sathasivan, A. (2019). Cost-Effective Chlorination Strategies for Drinking Water Distribution Systems. Water e-Journal Australian Water Association DOI: 10.21139/wej.2019.007.

Fisher, I., Kastl, G., Sathasivan, A. and Catling, R. (2021) Modelling chlorine residual and trihalomethane profiles in water distribution systems after treatment including pre-chlorination. Journal of Environmental Chemical Engineering, 9, DOI: 10.1016/j.jece.2021.105686.

Jadas-Hécart, A.; El Moher, A.; Stitou, M.; Bouillot, P.; & Legube, B., 1992. The chlorine demand of a treated water (in French). Water Research, 26(8), 1073.

Kastl G., Fisher I. H., & Jegatheesan V. (1999). Evaluation of chlorine decay kinetics expressions for drinking water distribution system modelling. Journal of Water SRT -Aqua, 48(6), 219-226.

Kohpaei, A. and Sathasivan, A. (2011) Chlorine decay prediction in bulk water using the parallel second order model: An analytical solution development. Chemical Engineering Journal 171(1), 232-241.

Liu, B., Reckhow, D., Li, Y. (2014) A two-site chlorine decay model for the combined effects of pH, water distribution temperature and in-home heating profiles using differential evolution. Water Research 53, 47-57.

Reichert, P., (1994). AQUASIM – A tool for simulation and data analysis of aquatic systems. Wat. Sci. Tech., 30(2), 21.

Sathasivan, A., Kastl, G., Korotta-Gamage, S., & Gunasekera, V. (2020) Trihalomethane Solutes Model for Drinking Water Supply Systems. Water Research 184:116189.

Shang, F.; Uber, J.; & Rossman, L., (2008). Modeling reaction and transport of multiple solutes in water distribution systems. Environmental Science and Technology 42(3), 808.

Was this information helpful?