Diffusion can be modelled for use in 1D or 2D simulations to replicate the longitudinal dispersion of any transported water quality variable, such as a pollutant. The 1D and 2D engines first solve advection of the determinants and then perform the diffusion step.
The transport and dispersion of water quality variables is governed by the mass balance equation. One term of the equation represents the effective longitudinal dispersion, and the amount of dispersion is governed by the longitudinal diffusion coefficient, D.
For 1D simulations, InfoWorks ICM lets you choose if the diffusion coefficient (D) is calculated according to estuary or river conditions. This can be set for the river reaches, bridges (expansion and contraction), channels and conduits, enabling you to vary conditions within the same network.
To calculate 1D diffusion for estuary conditions, the diffusion coefficient may be considered to vary with the tidal discharge and/or the longitudinal salinity gradient (mainly applicable to large delta systems). To model this, the 1D diffusion type in the properties for river reaches, bridges, channels and/or conduits must be set to Estuary.
The equation for the 1D diffusion coefficient for estuaries is:
|
|
where: D = the diffusion coefficient D0 = a user-defined constant used to prevent unrealistically low values of dispersion from arising (m2/s) D1 =a user-defined constant used to represent the amount of dispersion caused by tidal mixing in the estuary (m2/s) |Q| = absolute flow (m3/s) D2 = a user-defined constant used to determine the effect of salinity gradient on dispersion (m2/s) ∂S/∂x = the derivative of salinity with respect to distance |
For river applications the diffusion is related to the shear velocity. To model this, the 1D diffusion type for river reaches, bridges, channels and/or conduits properties must be set to River.
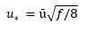
The equation for the 1D diffusion coefficient for rivers is:
|
|
where: D = the diffusion coefficient D0 = the minimum diffusion coefficient D1 =is the shear velocity factor u* = shear velocity (m/s) b = channel width (m) ū = mean flow velocity (m/s) 𝑓 = Colebrook-White friction factor |
Including 1D Diffusion in a Water Quality simulation
To include 1D diffusion in a water quality simulation
- Set the diffusion parameters in the
properties sheet or
grid for the links (river reaches,
bridges,
channels and/or
conduits) which are to be included in the simulation.
If zero diffusion coefficients are specified, the engine will transport the water quality variable(s); you may note some numerical dispersion, as a consequence of the numerical solver for advection.
- Set up the run. We recommend, as for other quality runs, that the Timestep (s) parameter in the Run dialog is set to 15 seconds or lower.
- Set the QM parameters (check the Use QM option on the
Run dialog and then select the QM parameters button to display the
QM Parameters dialog) and choose which pollutants and/or sediments are to be included in the run.
We recommend the following QM parameter settings are used when diffusion is to be included in the simulation:
- The Erosion/deposition affects hydraulics and Native washoff routing options are checked.
-
The Dependent sediment fractions option is checked if you are modelling both SF1 and SF2.
- The QM multiplier is set to 0. A non-zero QM multiplier can be used, but as the diffusion solver is explicit, the run may result in instabilities if the run timestep is too large. With a QM multiplier of zero, the engine should adjust the minor timestep to ensure it does not exceed the maximum timestep for stability in any link for which the diffusion parameters have been set.
