Description
Defines material properties for viscoelastic materials. This entry is used if a MAT1, MATHP, MATHP1 or MATHPF entry is specified with the same MID.
Format
| 1 | 2 | 3 | 4 | 5 | 6 | 7 | 8 | 9 | 10 |
| MVISCO | MID | TYPE | C1 | C2 | TREF | ||||
| T1 | V1 | T2 | V2 | T3 | V3 | T4 | V4 | ||
| T5 | V5 |
Example
| MVISCO | 5 | 1 | |||||||
| 0.25 | 0.5 | 0.5 | 0.25 | 0.75 | 0.1 |
| Field | Definition | Type | Default |
|---|---|---|---|
| MID | Material identification number. | Integer > 0 | Required; See Remark 1 |
| TYPE | Type of viscoelastic table to be used to define the behavior:
Type 1 – Uniaxial Prony Series Type 2 – Shear Prony Series Type 3 – Uniaxial Test Data Type 4 – Shear Test Data |
Real > 0 | 0.0; See Remarks 2 and 3 |
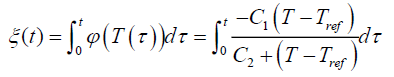
| C1 | Coefficient for theromorheologically simple behavior shift function. | Real | 0.0; See Remark 4 |
| TREF | Reference Temperature for theromorheologically simple behavior model. | Real | 0.0; See Remark 4 |
| Ti | Time values in the table. | Real ≥ 0 | 0.0; See Remarks 2 and 3 |
| Di | Dependent variable values in the table. | Real ≥ 0 | 0.0; See Remarks 2 and 3 |
Remarks
- This option looks for a elastic MAT1, MATHP, MATHP1, or MATHPF material with the same MID and augments the elastic properties to include viscoelastic effects.
- The TYPE parameter indicates how the table defined by the Ti, Vi values are to be interpreted.
TYPE = 1: The table contains the raw Uniaxial Prony Series coefficients (Ti = TAUi, Di = Ei).
TYPE = 2: The table contains the raw Shear Prony Series coefficients (Ti = TAUi, Di = Gi).
TYPE = 3: The table contains the raw Uniaxial Test data (Ti = Timei, Di = Ei).
TYPE = 4: The table contains the raw Shear Test data (Ti = Timei, Di = Ei).
When test data are supplied (TYPE 3 or 4), the appropriate Prony Series coefficients are fit to the data.
- Enter as many lines as necessary to define the table with up to 4 pairs of Ti, Di values per line. Reading is terminated when a blank field is found, an ENDT value is found, or a new keyword line is read.
- The theromorheologically simple behavior shift function is defined by the Williams-Landell-Ferry approximation:

