Concentrated Mass Element Connection
Description: Defines a concentrated mass at a grid point.
Format:
Example:
| Field | Definition | Type | Default |
|---|---|---|---|
| EID | Element identification number. | Integer > 0 | Required |
| G | Grid point identification number. | Integer > 0 | Required |
| CID | Coordinate system identification number. For CID of -1, see X1, X2, X3 below. | Integer ≥ -1 | 0 |
| M | Mass value. | Real | Required |
| X1, X2, X3 | Offset distances from the grid point to the center of gravity of the mass in the coordinate system defined in field 4, unless CID = -1, in which case X1, X2, X3 are the coordinates of the center of gravity of the mass in the basic coordinate system. | Real or blank | 0.0 |
| Iij | Mass moments of inertia measured at the center of gravity in the coordinate system defined by field 4. If CID = -1, mass moments of inertia measured at the center of gravity in the basic coordinate system. | I11, I22, and I33; Real > 0.0; I21, I31, and I32, Real | 0.0 |
Remarks:
- Element identification numbers must be unique with respect to all other element identification numbers.
- For a more general means of defining concentrated mass at grid points, see the CONM1 entry description.
- The continuation entry may be omitted.
- If CID = -1, offsets are calculated internally as the difference between the grid point location and X1, X2, X3. If the grid point locations are defined in a non-basic coordinate system, the values of Iij must be in a coordinate system that parallels the basic coordinate system.
- If CID ≥ 0, then X1, X2, X3 are defined by a local Cartesian system similar to the method in which displacement coordinate systems are defined.
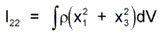
- The form of the inertia matrix about its center of gravity is taken as:
where,
and x1, x2, x3 are components of distance from the center of gravity in the coordinate system defined in field 4. Only the magnitude of Iij should be supplied, the negative signs for the off-diagonal terms are supplied automatically. A warning message is issued of the inertia matrix is non-positive definite. A non-positive definite inertia matrix may cause fatal errors in the eigenvalue extraction module.