Pipe Element Property
Description: Defines the properties of pipe elements (CPIPE entry).
Format:
Example:
| Field | Definition | Type | Default | ||||
|---|---|---|---|---|---|---|---|
| PID | Property identification number. | Integer > 0 | Required | ||||
| MID | Material identification number. | Integer > 0 | Required | ||||
| OD | Pipe outer diameter. | Real > 0.0 | Required | ||||
| T | Pipe wall thickness. | 0.0 < Real ≤ OD/2.0 | Required | ||||
| P | Internal pressure. | Real or blank | 0.0 | ||||
| EC | End condition, one of the following character variables: CLOSED or OPEN.
|
Character | CLOSED | ||||
| NSM | Nonstructural mass per unit length. | Real or blank | 0.0 |
Remarks:
- PPIPE entries must all have unique property identification numbers.
- For structural problems, PPIPE entries may only reference MAT1 material entries.
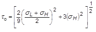
- Hoop stress due to internal pressure and longitudinal, shear, and torsional stress due end forces and moments are combined to generate invariant stresses as follows:
Maximum shear stress:
Maximum principal stress:
Octahedral shear stress:
